官方微信视频号
但凡需要做产品寿命加速时,阿伦尼乌斯模型是各位可靠性工程师、设计工程师等最常用的加速模型。阿伦尼乌斯模型是瑞典化学家阿伦尼乌斯于1889年在大量的化学反应数据基础上总结出来的,它表明在化学反应过程中反应速率与反应温度的关系。在一定范围内,温度越大,反应速率越高。今天,一起来聊聊这个模型的前世今生,以及如何运用该模型进行寿命加速。
▍阿伦尼乌斯其人

阿伦尼乌斯
阿伦尼乌斯,全名:阿伦尼乌斯·斯万特·奥古斯特。瑞典物理化学家,1859年2月19日生于乌普萨拉,1927年10月2日卒于斯德哥尔摩。17岁时入乌普萨拉大学,主修化学,1878年毕业后留校。
阿伦尼乌斯的最大贡献是1887年提出电离学说:电解质是溶于水中能形成导电溶液的物质;这些物质在水溶液中时,一部分分子离解成离子;溶液越稀,离解度就越大。
这一学说是物理化学发展初期的重大发现,对溶液性质的解释起过重要的作用。它是物理和化学之间的一座桥梁(见阿伦尼乌斯电离理论)。但是这一理论当初根本不被行业精英和大牛说接受,搞得他差点博士毕不了业。但是,对我们来说,他的最大贡献是,1889年提出活化分子和活化热概念,导出化学反应速率公式(阿伦尼乌斯方程)。
▍阿伦尼乌斯模型
“阿伦尼乌斯模型公式”

注意:阿伦尼乌斯模型有两个假设:
(1)样品的某个参数θ的退化量D=f(θ)是时间的线性函数。
这个假设说明,对于元器件的某个参量,如果通过某些变换能使其随时间变化的规律符合假设的要求,那就可以应用阿伦尼乌斯模型来描述其寿命过程。
(2)退化率R(T)的对数是绝对位温度倒数的线性函数,否则就不是真实的加速。
因此,对于两个不同温度应力(T1,T2)下的加速系数计算模型,就可以表达为:

从公式中可以看出,激活能越大,加速系数也越大,越容易被加速失效,加速试验效果越明显。如果,在激活能确定的情况下,温度差越大,加速系数也越大。但是,这里要特别注意,执行加速测试的前提时,增加应力产生相同的失效模式,如果加速应力超出产品、材料本身的极限温度范围,可以产生的新的失效模式,那么加速试验得到的加速系数也就没有意义了。

那么问题来了,很多人不知道活化能Ea应该选取那个值?其实不同的Ea对应了不同的失效机理,下面表格是一些电子元器件在经验累积得到推荐值。

但是我们在做产品温度加速时,一般是针对整系统,那么Ea应该如何选取。通常情况下,根据经验Ea可选取0.5~0.7eV.比如戴尔电脑对PC的Ea选取0.6eV,这个值也是多次试验的出来的平均值。这个Ea选取主要针对但应力加速时,如果有2个应力以上,则无需考虑,可以通过试验结果计算出来。
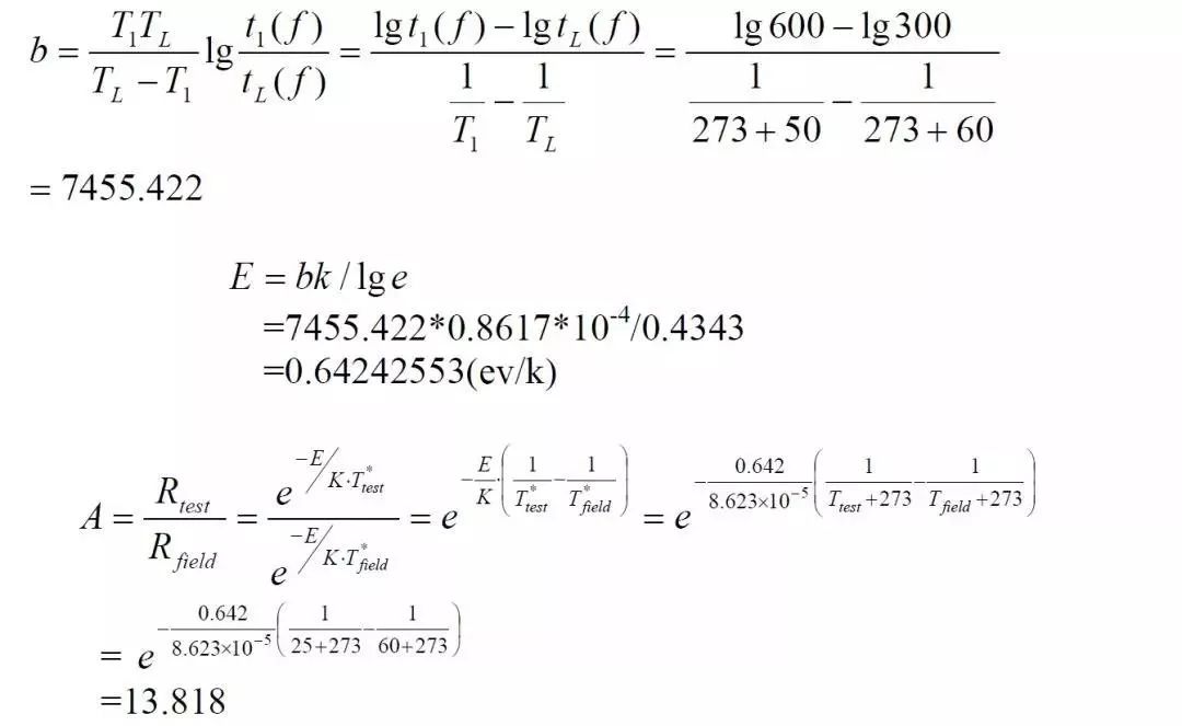
例如,某个电子产品在高温下某项性能会随时间退化,测试安排在50°C和60°C下进行。测量结果如下面表格所示:




根据公式计算结果如下:

由此可见,60°C相对于25°C的加速系数为13.82,该失效模式下的Ea为0.642eV.
▍结语
我们注意到,阿伦尼乌斯模型中只考虑了温度应力对物质的化学与物理变化的影响。实际上,很多的产品失效,除了温度之外,还与此时很多非温度应力因素有关,如电压、湿度、机械应力等。这就使得阿伦尼乌斯模式的应用受到了限制。随着量子力学理论的发展,既考虑了温度应力,又考虑了各种非温度应力的艾林模型因此产生。
▍参考资料:
1、电子元器件可靠性试验工程
2、百度百科
3、可靠性工程数学